什么是色度学?色度学是一个用于预测两个具有不同光谱功率分布的刺激色样在特定观察条件下是否具有相同颜色的工具,其最终目标是建立符合颜色视觉辨别特性的预测模型。本文对色度学的概念及CIE标准色度系统进行了介绍,感兴趣的朋友可以了解一下!

对颜色进行定量的描述不仅涉及到观察者的颜色视觉特性,还受到照明和观察物理条件等诸多复杂因素的影响。各国颜色科学家长期以来在国际照明委员会(CIE)的协调和指导下不断探索,致力于发展与颜色视觉特性趋于一致的颜色物理测量理论和技术,以满足工业生产对颜色表征的定量化和标准化需要。CIE于1931年推荐了CIE1931标准色度系统、三个标准光源(A、B和C)以及标准照明和观察条件等,奠定了现代色度学的基础。
从狭义上来说,色度学是一个用于预测两个具有不同光谱功率分布的刺激色样在特定观察条件下是否具有相同颜色的工具。如果两个刺激色样具有相同的三刺激值,则认为对于具有正常色觉的标准观察者,这两个刺激色样具有相匹配的颜色。广义上的色度学还包括了复杂观察条件下刺激色样颜色外貌的估测方法。
色度学的最终目标是建立符合颜色视觉辨别特性的预测模型,具体包括以下几点:
(1)每个唯一的颜色应当具有唯一的色度参数,即两个具有相同色度参数的刺激色样应当具有相同的颜色外貌,而两个具有不同色度参数的刺激色样所对应的颜色外貌也是不同的。
(2)利用一个各个维度相互垂直的坐标系统来表述相应的色度参数,并应体现出颜色的主要视觉属性,如明度、彩度和色调等。
(3)两个刺激色样之间的计算色差值应与相应的视觉感受量差异成正比。
其中第一个目标通过采用CIE1931标准观察者颜色匹配函数已经实现。三原色匹配或混合是CIE标准色度系统的物理基础,几乎所有的颜色都可以通过三原色按一定的比例混合得到。根据颜色相加混合的现象,格拉斯曼(H.Grassmann)于1854年提出了格拉斯曼颜色混合定律,奠定了颜色测量和匹配的理论基础。格拉斯曼颜色混合定律的基本内容为:
(1)人眼只能分辨出颜色的三种变化,即明度、饱和度和色调。
(2)由几个颜色所组成的加混色中,如果其中一个颜色连续变化,则混合色的外貌也将连续变化。
(3)在加混色中,其混合色取决于参加混合的颜色的外貌,而与各自的光谱组成无关。
(4)混合色的总亮度等于组成混合色的各颜色亮度的总和。
(1)CIE1931XYZ标准色度系统
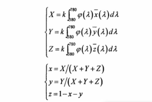
由于CIE1931 RGB色度系统在计算过程中会出现负值,因此CIE采用假想的三刺激值X、Y和Z来建立一个新的色度系统,即CIE1931 XYZ标准色度系统.通过选择合适的三原色,使其光谱三刺激值x(x)、y(y)和z(z)均不为负数,并且Y与亮度值成正比。三刺激值X、Y、Z及其相应色品坐标x、y、z的计算方法分别如下式所示:

式中,φ(λ)是光源发出(光源色)或是光源经物体反射或透射后(物体色)进入人眼的光谱能量分布,称之为颜色刺激函数;x(λ)、y(λ)和z(λ)是CIE1931标准色度系统的光谱三刺激值,其数据可通过查表得到;k为相应的归化系数。应注意的是,当需要预测在不同照明体下的三刺激值时,应采用色貌模型进行计算。
CIE1931 XYZ标准色度系统主要体现人眼视觉系统中央凹锥体细胞的作用,因此适用于2°视场的中央视觉观察条件,也可用于1°~4°视场的颜色测量,但对极小视场的颜色观察不再有效。对于大于4°视场的颜色测量,应采用CIE1964 XYZ标准色度系统。
CIE1931 XYZ标准色度系统是在广泛的实验基础上评价的人眼响应,是国际上颜色测量和表征的统一标准,是几乎一切颜色计算和颜色测量仪器设计、制造的基本理论依据。
(2)CIE1964 XYZ标准色度系统
由于CIE1931 XYZ标准色度系统是在2°视场观察条件下颜色视觉匹配实验数据的基础上得到的,多年的应用实践表明CIE1931 XYZ标准色度系统适用于1°~4°视场。而当视场增大到4°以上时,由于在人眼视网膜上的成像面积超过了中央凹范围,杆体细胞也会参与作用,使颜色感受产生了一定的变化。日常生活中观察物体时的视场通常较大,因此需要建立新的标准色度系统,以满足大视场观察和测量的需要。
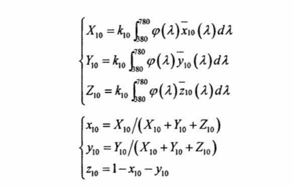
CIE在斯底尔斯(Stiles)和勃须(Burch)及斯派兰斯卡耶(Speranskaya)于10°视场条件下获得的两组实验数据的基础上,于1964年推荐了一组用于大视场观察的CIE1964标准色度观察者光谱三刺激值曲线,即CIE1964XYZ标准色度系统,其三刺激值X10、Y10、Z10和色品坐标x10、y10、z10的计算方程分别为:

式中,φ(λ)为相应的光谱能量分布,x10(λ)、y10(λ)和z10(λ)是CIE1964标准色度系统的光谱三刺激值,k10为归化系数。