多年来,色度学上致力于用一个纯数学量在整个色域上裁定颜色的匹配程度,因此,各种颜色空间和色差公式被广泛的提出,常见的色差公式就有CIE1964、 CIE1976LAB、 CIE1976LUV等色差公式,其中最为有影响的为CIE1976LAB色差公式。本文对色差公式的研究现状及色差仪常用色差公式做了介绍,感兴趣的朋友可以了解一下!

自从开发出第一个CIE色度系统之后,有40多个色差公式被相继研究出来。而1976年可看作20世纪现代色度学的分水岭。
1.1976年以前色差公式的发展
1976年以前,因为没有统一的标准和约定,颜色工作者纷纷以自己所涉及到的数据、产品和领域为基础,提出了各自适用的颜色空间和色差公式。但是,由于不同色差公式之间的数据很难或者根本无法相互转换,同时又没有一个具有权威性的色差公式可使大多数人接受并使用,因此其效果都不能令人满意,而且给普及应用带来了很大的麻烦。当时约有20多个色差公式,可以大致分为三类:以麦克亚当椭圆实验数据为基础提出的色差公式、以孟塞尔颜色系统为基础对CIE色度图进行非线性变换而来的色差公式、通过对CIE色度学系统线性变换而推导出的色差公式。
其中,孟塞尔颜色系统是从心理学出发应用视觉等距原则创立的。美国光学学会(OSA)对其颜色样本的间距进行了深入地研究,并于1943年公布出来,同时还公布了CIE三刺激值。它应该是最早的颜色辨别数据,表明了CIEXYZ系统的不均匀性。
在以上三类公式中,有较大影响力的有ANLAB,FMC-2和Hunter等。现在看来,虽然利用这些色差公式得出的结果都不太理想,但是在当时的历史条件下都不同程度地推动了色差研究的发展,对颜色相关工业也产生了一定的作用。
2.1976年及以后的发展
为了克服各种色差公式在应用方面的混乱,进一步统一色差评定的方法,CIE在广泛讨论和实验的基础上,于 1976年正式推荐了CIELAB 和 CIELUV两个颜色空间及相应的色差公式。这两个公式分别应用于表面色(如印染、纺织和油漆等)工业和光源色(如显示器和光源等)工业。工业界基于CIE1976L*a*b*色差公式制订了最初的针对颜色测量和色差评价的国际标准,我国也根据国际标准制订了与之对应的各个行业标准。
虽然CIE1976L*a*b*色差公式在当时是使用效果最好的公式,许多国家包括国际标准化组织都采用它作为自己的标准,但这并不排除它本身存在的不足之处:CIE LAB颜色空间并不均匀,其对应的色差公式并未体现出颜色三属性的权重差别--这样就使其计算结果与目测感觉并不能总是保持一致。在印刷工业的实际操作中,技术工人只能根据经验校正和调节图像的颜色。所以,此公式在工业应用中的价值有限,显然不能适应工业生产的需要。在这种情况下,众多颜色科学工作者研究出了很多新的色差公式,如ANLAB公式、McDonald公式、CMC(l:c)公式、JPC79公式、BFD(l:c)公式、CIE94公式和CIEDE2000等基于CIELAB颜色空间的修正公式。在实际应用中,已经被广泛证明具有较好性能的有CMC(l:c)、CIE94和CIEDE2000色差公式。
由于CIE1976Lab色差公式的不足之处已被国际社会广泛认可,因此,各个国家和用色工业纷纷选择性能更加优异的色差公式用于色差的评判。
CMC(l:c)色差公式是继CIE1976L*a*b*后应用比较广泛的公式。由于CMC色差公式比CIE1976L*a*b*公式具有更好的视觉一致性,所以对于不同颜色产品的质量控制都可以使用与颜色区域无关的“单一阈值”,从而给颜色测量和色差的仪器评价带来了很大的方便。因此,CMC公式推出以后得到了广泛的应用,许多国家和组织纷纷采用该公式替代CIE1976L*a*b*公式。1988年,英国将其纳入国家标准BS6923(小色差的计算方法);1989年它被美国纺织品染化师协会采纳为AATCC检测方法173-1989,后来经过修改成为AATCC检测方法173-1992;1995年它被并入国际标准ISO105(纺织品一颜色的牢度测量),成为J03部分(小色差计算)。
但是在我国的印刷行业中,国际标准GB/T 7705-1987(平版装潢印刷品)、GB/T7706-1987(凸版装潢印刷品)、GB/T7707-1987(凹版装潢印刷品)、GB/T 17497-1998(柔性版装潢印刷品)、GB/T17934.1-2003(印刷技术网目调分色片、样张和印刷成品的加工过程控制第1部分:参数和测试方法)、GB/T17934.2-2003(印刷技术网目调分色片、样张和印刷成品的加工过程控制第2部分:胶印)与行业标准CY/T31-1999(印刷技术四色印刷油墨颜色和透明度第1部分:单张纸和热固型卷筒纸胶印)中规定,印刷色差的评价采用CIE1976L*a*b*色差公式。
在建筑行业和纺织行业,我国则采用了CMC(l:c)色差公式,分别体现在国家标准GB/T3810.16-2006(陶瓷砖试验方法第16部分:小色差的测定)和GB/T8424.3-2001(纺织品色牢度试验色差计算)中。
色差仪作为颜色检测的光电仪器,其内部配置了多个用于色差计算的色差公式,其中常用的就是CIE1976L*a*b*色差公式。CIE1976L*a*b*通常简称为CIELAB,它是当时使用效果最好的色差公式,许多国家包括国际标准化组织(ISO)都采用它作为自己的标准。因此可以讲CIELAB色差公式是自1976年起使用较广泛、较通用的色差公式。
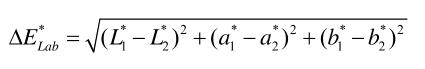
在与颜色感觉一致的均匀颜色空间内,两个颜色样品之间的色差表示为其坐标点之间的距离,即:
CIELAB色差单位:

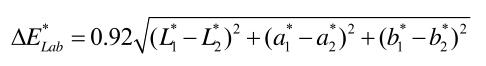
NBS色差单位:

式中L1*、a1*、b1*和L2*、a2*、b2*分别是两个样品的坐标值。色差公式的几何意义是在均匀颜色空间以标准色样的坐标点为中心的一个椭球,其在L*、a*、b*三个方向的半轴长分别为(L1*-L2*)、(a1*-a2*)、(b1*-b2*)。若规定椭球内的颜色满足色差容限的要求,则椭球外的颜色与标准色样的色差超出了色差容限范围,便不满足色差的要求。
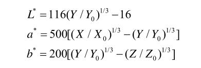
在实际计算中,可采用以下计算过程。CIE1976L*a*b*空间由CIE-XYZ系统通过数学方法转换得到,转换公式为:

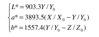
其中X、Y、Z 是物体的三刺激值:X0、X0、Z0为 CIE标准照明体的三刺激值;乙表示心理计量明度,简称明度指数;a*、b*为心理计量色度,简称色度指数。其中X/X0,Y/Y0,Z/Z0任一个都不能小于0.008856,否则应按下式计算L*、a*、b*的值:

(1)亮度差:

亮度差△L*表示样品与标准的深浅差,如果是正值,表示样品比标准浅,如果是负值,表示样品比标准深。
(2)饱和度差:

饱和度差△C*表示样品颜色与中性灰的饱和度的差,即表示鲜艳程度。△C*为负值表示标样比样品鲜艳,△C*为正值则表示样品比标样鲜艳。
(3)色相角差:

色相角差△H*,表示样品色相角与标准色相角的差,△H*的计算结果由a*b*平面上的样品颜色点相对于标准颜色点的位置所决定,在顺时针向上△H*为正值,在逆时针方向上△H*为负值。
(4)总色差:
