色差仪在测量颜色时,其原理是模拟人眼的视觉系统,根据仪器的模拟积分光学系统,将光谱光度数据的三刺激值进行转换和计算,得出L*、a*和b*值及经过相应色差公式计算后的色差△E值。那么,色差△E值计算公式有哪些?色差△E值单位是什么?本文为大家作了介绍。

两带色样品间的颜色在颜色知觉上的差异可用“色差”来表示。1976年以来,出现了多种色差公式如CMC(l:c)色差公式,CIE1976(△L*△Cab*△Hab*)色差模型、CIEDE2000色差公式、CIE1976(L*a*b*)色差公式等。其中CIE1976(L*a*b*)色差公式是国际上公认的色差公式。色差包括明度差、彩度差和色相差三个方面。我们常说的色差是这三方面色差经一定公式计算后得出的总色差值。在与颜色感觉一致的均匀颜色空间内,两个颜色样品之间的色差表示为其坐标点之间的距离,即:

式中,L1*,a1*,b1*和L2*,a2*,b2*分别是两个样品的坐标值。色差公式的几何意义,是在均匀颜色空间以标准色样的坐标点为中心的一个椭球,其在L*、a*、b*三个方向的半轴长分别为(Li*-L2*)、(a1*-a2*)和(b1*-b2*)。若规定椭球内的颜色满足色差容限的要求,则椭球外的颜色与标准色样的色差超出了色差容限范围,便不满足色差的要求。
一般来讲,两样品的色差与目视色差感觉的关系如下:

如果样品的色彩较饱和,两样品间如果有1.0的色差,一般人看不出它们的差别。
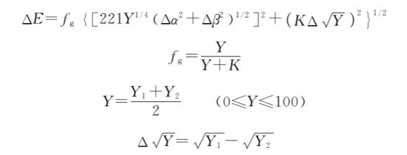
作为色差的计算单位,以前常用NBS(National Bureau of Standards)。这一色差单位是以贾德(Judd)—亨特(Hunter)建立起来的色差计算公式的单位为基础推出来的,贾德最先建立起UCS色度图,这个色度图在很长一段时间内是美国色度计算的基础,然而在三角坐标中处理很不方便,后来斯科菲尔德(Scofeld)—贾德—亨特把它转换成了a—β色度图,该系统与x—y色度坐标之间的转换关系为:

利用这一色度坐标可按下式计算色差。

式中:K——光泽影响系数,测定纺织品时,K=10(受观测条件的影响)。一般在普通实验室中,有光泽的面取K=2.5,无光泽的面,取K=0,半光泽的面,取K=1。fg——调整系数。
用这一色差式计算的色差单位为NBS单位,NBS单位曾被作为所有色差计算公式的单位,并且延续了很长一段时间。20世纪70年代以后,大量色差式相继出现,一律采用相同的标准计算单位既不可能,也没有必要。所以,就采取了标注计算公式的方法。如△ECMC、△ECIE等,不再使用NBS单位。