色差仪是以色度学为基础,而研制的光电仪器,因此其在测量颜色时,必须以色度学规定的色度系统为基础,以此对颜色进行定量的测量与描述。本文对色差仪颜色测量常见色度系统的类型做了介绍,对颜色测量知识感兴趣的朋友不妨了解一下!

CIE1931XYZ色度系统由CIE1931RGB 色度系统线性转换而来,避免了CIE1931RGB色度系统计算颜色三刺激值时出现负值的问题,并进而可计算出CIE1931XYZ色度系统中的光谱三刺激值x(λ)、y(λ)和z(λ),并将对应的三条曲线称为“CIE1931XYZ标准色度观察者光谱三刺激值”。
该组数据主要适用于2°视场的中央视觉观察条件。若定义新的色品坐标x、y、z为:

则可得到CIE1931XYZ系统的色品图,如下图中实线所示。

由于CIE1931 XYZ标准色度系统仅适用1°-4°的观察视场范围,而当视场增大到4°以上时在波长为380-460nm光谱区内x(λ)、y(λ)和z(λ)的数值偏低,于是为了适应大视场颜色测量的需要,CIE于1964年推荐了一组“CIE1964补充标准色度观察者光谱三刺激值”数据,也称为10°视场X10Y10Z10色度系统,如上图中虚线所示,图中WE点代表等能白光的色品坐标,即x10E=0.3333,y10E=0.3333,z10E=0.3333,WE也是CIE1931和CIE1964两幅色品图上唯一完全重合的点。
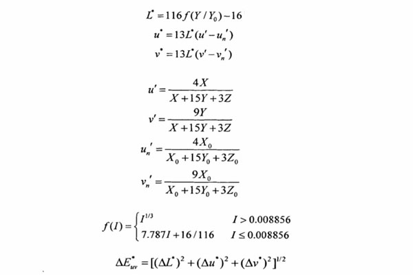
CIE1976L*u*v*颜色空间以明度L*,色品坐标u*、v*为三维直角坐标,也称为CIELUV颜色空间,主要用于加混色的表示和评价,关系式为:

式中,X、Y、Z为颜色样品三刺激值,u'、v'为样品色品坐标,而u0'、v0'为照明体的色品坐标,X0、Y0、Z0为CIE标准照明体照射在完全漫反射体上对人眼的三刺激值,即有Y0=100,△E*uv为对应色差。
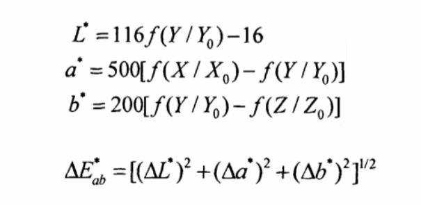
CIE1976L*a*b*以明度L*和色品坐标a*、b*为三维坐标,主要用于减混色的表示和评价,也称为CIELAB颜色空间,计算公式为:

式中X、Y、Z,X0、Y0、Z0含义与L*u*v*颜色空间的关系式一致,△E*ab为对应色差。