评价光源的性能指标有很多,其中比较重要的性能参数有光通量、光照度和光亮度等,它们从不同的角度对光源的性能做了要求。本文对光源光通量及光照度的含义及测量方法做了介绍。

1.光通量
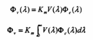
光通量的定义是计量光源被人眼所观察时呈现的光功率,光通量的单位为lm(流明)。其表达式:

其中Фv(λ)为光通量,Фe(λ)为辐射通量,V(λ)为视觉函数,Km=683lm/W。
2.光照度
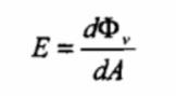
光照度的定义是单位面元上光源照射的光通量,其单位为lx(勒克斯)。其表达式为:

光源的发光强度是光度学中的基本量,而且由发光强度可以导出其他光度量。但要表征光源的特性,单以光源的发光强度来表示是不完全的,这是因为一般光源在各个方向上的的发光强度并不一致,故只有用总光通量来说明更为合适。
测量光源总光通量的方法有绝对法和相对法两种:绝对法是测量光源发光强度的空间分布,再出此计算得出光源的总光通。这种方法原则上对任何种类的光源均适用且能达到高准确度,但是测量和计算都较为费时费力。相对法是将被测光源与总光通量己知的标准光源进行比较而求得总光通量的方法,常用的测量仪器是积分球。这种方法的测量和计算都简单易行,因而被广泛采用,在测量光源的光通量时,采用相对法,利用积分球进行测量。在积分球内用已知光通量的标准灯与被测灯作比较测量,从而定出被测灯的光通量。用积分球测量光通量,通常采用比较法(代替法),为此需要光通量标准灯。先将标准灯放入积分球内,点燃后,在窗口测得标准等的照度。接着放入待测灯点然后,测量其照度,通过比较标准等与待测灯的照度,可得到待测灯的光通量。
采用比较法测量光通量可以大为减少由球壁漫反射层的不均匀性、球壁涂料和窗口材料的非中性(即涂料的漫反射比和窗口的透射比与波长有关)等因素造成的影响,但是不能消除由于标准灯的尺寸和结构与待测灯的不相同而造成的对球内壁漫射光的吸收情况不同的影响,也不能消除标准灯与待测灯的相对光谱功率分布及空间分布不同产生的影响等等,在测量时应考虑采取修正的办法。
照度测量是最流行的光度测量形式。一般都用物理照度计,即用光电探测器代替人眼的光电式照度计。照度计的测量原理较简单,整个探测器所接收的光通量除以探测器的面积,即为所测的照度,即E=Φ/A。
由于光电探测器的光谱灵敏度分布不同于人眼的光谱光视效率V(λ),故一般的照度计在探测器前都装有V(λ)滤光器。一个照度计是由带V(λ)滤光器的光电探测器及电子放大和读数系统所组成。过去广泛采用硒光电池为探测器,这是因为它的光谱灵敏度比其他探测器更接近人眼的光谱光视效率V(λ)的缘故。但由于硅光电元件的灵敏度、稳定性和寿命均较硒光电池为高,故近年来多采用硅光电池或硅光电二极管代替硒光电池作照度计的探测器件。
由于光电探测器所产生的光电流正比于所接收的光通量,测量时须将照度计的光敏表面与被测照度的表面重合,并尽量垂直于光的照射方向。所以读数系统可直接指示出所测的照度值。一般照度计的测量精度为10%左右,高精度的照度计可达3%~4%。