CMC(1:c)和CIEDE2000色差公式是色差仪、分光测色仪等颜色测量仪器常用色差公式类型,这两类色差公式都是以CIELab色差公式为基础发展起来的,且都对CIELab色差公式做了修正。本文对CMC(1:c)和CIEDE2000色差公式差异及特点做了介绍。

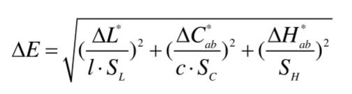
CMC色差公式是在CIELAB公式的基础上修改推导出来的,先后被英美两国采用作为各自的国家标准,并于1995年被ISO接受成为国际标准。色差公式如下所示:

式中:△L*、△C*ab、△H*ab由CIE1976LAB色差公式计算得到,SL、SC、SH分别为明度、彩度和色调加权函数,用于调整不同明度、不同彩度和不同色调对色差的贡献大小。l和c为参数因子,用于调整不同的观察条件对色差的影响大小。l、c值的选用:对色差的“可觉察性”目视鉴定资料,可取l=c=1。而对色差的“可接受性”目视鉴定资料,则可取l=2、c=1。
CIEDE2000色差公式是最新由CIE推荐的色差公式。该公式不仅包含有明度差、彩度差和色调差加权函数,还加入了色调差与彩度差的交叉项,和改善中性灰色色差予测能力的函数项。CIEDE2000色差公式如下:

上式中,△L'、△C'为CIELAB颜色空间的亮度差、彩度差,△H'是改进后的色相差;KL、KC、KH为参数因子,可根据实际使用确定具体的矫正参数,在CIE标准观测条件下,取KL=KC=KH=1;SL、SC和SH分别为明度、彩度和色调的权重因子。
CMC(l:c)色差公式和CIEDE2000色差公式,都是在CIELAB色差公式的基础上发展起来的色差公式。CMC(l:c)色差公式是在CIELAB颜色空间基础上对色差公式进行修正得到,从增加了SL、SC和SH三个权重系数,使得可以分别从明度、彩度、色调三个方面各自进行调整,以对颜色空间的均匀性进行校正;CIEDE2000重新定义了CIELAB颜色空间的a轴,改善了对中性颜色的预测性能,并修改了明度和色调的权重系数SL和SH,很好的修正了椭圆不规则的问题。