色差仪为了对颜色进行量化的表达,其内部一般会配置多种类型的颜色空间,比较常见的颜色空间有XYZ、Lab等,Lab颜色空间实在XYZ颜色空间基础上发展的一个颜色空间,且相互之间存在一定的转换关系。本文对色差仪XYZ颜色空间与Lab颜色空间关系做了介绍。

1931年,国际照明委员会(CIE)制定了CIE-RGB系统,由于CIE-RGB系统计算颜色三刺激值会出现负值的问题,即使用R、G、B三原色无法调制出所有的颜色,因此CIE在RGB三原色理论基础上提出了新的三刺激值X、Y、Z,使用假象的三原色XYZ建立新的色度系统。在XYZ测色系统中,X原色相当于波长比700nm的光谱红还要大的红紫,Y原色相当于波长比520nm的光谱绿还要大的一种绿,Z原色相当于饱和度比477nm的光谱蓝还要大的一种蓝,XYZ颜色空间是在RGB颜色空间上提出的,可以由RGB颜色空间转换得到。
X、Y、Z是自然界并不存在的三种原色,但使用这三种原色可以从理论上调配出所有的颜色。以三刺激值XYZ为分量的颜色空间称之为XYZ颜色空间,其他颜色都可以从这三种颜色中导出,通过相加混色或者相减混色,任何色调都可以使用不同量的基色产生。该颜色空间在广泛的实验基础上得到的平均人眼颜色响应,符合人眼对颜色观测的视觉特点,是国际委员会定义的与设备无关的颜色表示法,因此通常作为国际性的颜色空间标准。对于无法直接转换的两个颜色空间,XYZ颜色空间通常可以作为桥梁,使两种颜色空间能进行转换。
CIE早期推荐的颜色空间主要有麦克斯韦三角形、RGB坐标、XYZ坐标等。因为提出它们的最初目的只是为了充分而方便地表达出自然界的色彩,没有考虑人眼的颜色分辨特性,所以独立性和均匀性都较差。如果颜色模型能提供空间位置与视觉系统间良好的对应关系,就会给颜色研究工作带来很多方便,CIE于1976年提出的CIELab色度系统就是这样一个颜色空间。
CIELab空间可由CIEXYZ转换得到,它是把颜色按其所含红、绿、黄、蓝的程度来度量的。视网膜锥体细胞有三种不同响应的视觉神经,分别对红绿、黄蓝和黑白起作用,颜色感觉是由各个视觉神经的破坏和恢复而产生。每发生一次恢复和破坏,就发出一脉冲信号给大脑,于是得到一种色感。根据这一色觉说,将红度(正向)和绿度(负向)同置于一根横轴(a*轴)上,而将黄度(正向)和蓝度(负向)同置于纵横轴(b*轴)上,垂直于a*b*平面的第三根轴为明度L*,这就是L*a*b*表色空间。在该系统中,明度L表示颜色明亮的程度;a*表示红色在颜色中占有的成分,-a*表示红色的补色在颜色中占有的成分;b*代表颜色中黄色的成分,-b*表示黄色的补色在颜色中占有的成分。CIELab色彩空间所表示的颜色与人眼视觉特性相接近,可以通过设置不同的a和b值得到精确的颜色平衡,设置不同的L值来调整亮度对比度。CIELab颜色空间是颜色量化最均匀的颜色分布,能够解决颜色量化的等距度量,其均匀性较好。
在实际应用时,不均匀的颜色空间会给颜色评估带来很多的不便,于是人们就研究均匀的颜色空间,CIELAB颜色空间就是均匀的颜色空间之一,1976年,CIE制定此颜解决XYZ颜色空间的物理距离与人眼的感知不相当的问题。
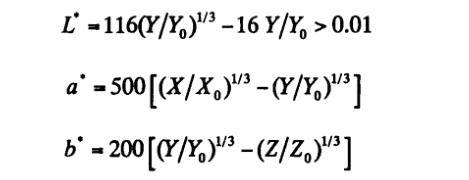
在这一颜色空间中,柱坐标 L*表示亮度,a*和 b*轴代表色度坐标,分别是红-绿坐标和黄-蓝坐标,这三个坐标值均被认为是均匀变化的。这三个属性值可以由XYZ颜色空间的三个属性转化而来。转换公式如下:

其中,在上面的公式中,X、Y、Z 指的是物体的三刺激值,这三个属性值是在海明对立坐标理论的基础上建立起来的。X0、Y0、Z0表示的是CIE 标准照明体先照射在完全反射漫反射体上,再经其反射到人们眼中的白颜色物体的三刺激值。光源和观察者的条件分别以D65和10°条件为佳。在不同的光源以及观察者条件下,三刺激值是不同的。若采用D65标准照明体X0=94.811,Y0=100.00,Z0=107.304。