对于标准光源箱而言,标准光源是其最为核心的部分,其性能直接影响对色结果的准确性。评价标准光源的性能指标有很多,主要包括色温、显色性和照度等,对光源照度进行校准,有利于保证光源性能的稳定性。那么,标准光源箱标准光源的照度一般怎么校准?本文对标准光源箱标准光源照度校准方法做了介绍。

光照强度是另一光源的描述属性,它指的是受体在单位面积上所接受可见光能量,简称照度,单位勒克斯(Lux或Lx)。光照强度作为物理术语,通常用于表现光照的强弱或者物体表面积被照亮程度。物体表面被光线照射的照度
通常定义为照射在该物体单位面积上的光通量。当设面积微元dS上的光通量为dΦ时,该面积微元上的照度E为:E=dΦ/dS,11x=11m/m2。当物体表面被光照射时,若一平方米表面被照射所得光通量是1流明时,称此时的照度为1勒克斯。流明是光通量的单位。通常被用来检测光线强弱程度的专业仪器叫做照度仪。照度也是一项重要的光源评价指标,如标准光源箱的中标准光源,对光源照度就有严格要求等。
测量点为9个,设置在箱体工作面中心线和距边线100mm均匀分布9个点,测量点分布如下图所示。开启对色灯箱电源开关,并开启被校标准光源,将标准光源预热15min。使对色灯箱处于暗窒室环境中,避免杂散光影响。然后将光照度计探头分别放置于各个测量点,逐点测量光照度值。读数时,应将手远离探头,待显示稳定后记录9个点的测量值。若同时配置多种类型标准光源,应逐个重复上述步骤。

1.光照度
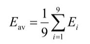
对上述记录的测量数据,光照度按照下列公式计算:

公式中:Eav——对色灯箱在9个测量点实测光照度值的平均值,lx;Ei——对色灯箱在9个测量点实测光照度值,lx。
2.照度均匀度
对上述记录的测量数据,按下列公式计算照度均匀度:

公式中:U2——照度均匀度,最小光照度与平均光照度之比;Emin——对色灯箱在9个测量点中的实测最低光照度值,lx。