纺织色差仪是纺织行业常用的色差管理仪器,该啥类型色差仪可以通过内置的色差公式,将纺织品颜色之间的差异值进行数字量化。那么,纺织色差仪ΔE*cmc色差公式形式是怎样的?本文对纺织色差仪ΔE*cmc色差公式做了简要的介绍。

ΔE*cmc色差公式在修正ΔE*ab色差公式的基础上,根据视觉关系调整了每个色调方向的色差椭圆大小和形状;改善了彩度差变化与明度之间的关系,使不同彩度的颜色具有不同的色差容限。非彩色区域附近的椭圆较小,彩度高的椭圆较大,色差容限与彩度的变化成正比。它引入了明度权重因子l彩度权重因子c,能够解决暗色和中性色区域的色差结果计算与人眼测量结果相差较大的问题,适应不同的色差需求。
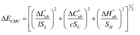
ΔE*cmc公式定义视觉特性为椭圆,椭圆内部所表示的颜色与标准色在视觉特性上表示一致,椭圆外部所表示的颜色则不一样。用椭圆方程定义的色差公式如下所示:

上式中,△L*、△C*、△H*三个参数分别代表明度差、彩度差和色相差,下标为std的代表标准样本。SL、SC、SH椭圆的半轴,l是明度权重因子,c是彩度权重因子,通过改变l,c因子改变相对椭圆半轴的长度来控制色差范围,对于可接受色差取l=2,c=1。
由于ΔE*cmc色差公式与人眼视觉特性一致,因此独立于颜色区域的“单一阈值”可用于对不同的颜色质量控制,为颜色测量和色差评估带来极大的方便。
△ECMC(l:c)色差公式改进了CIELAB颜色空间的目视均匀性。通过修正CIELAB色差公式,CMC(l:c)色差公式使各色调方向的色差椭圆大小可根据视觉的关系进行改变,比如在红色区域的椭圆比较瘦长,在绿色区域则比较圆;同时它改善了饱和度差随明度的变化关系,将饱和度不同的颜色赋以不同的色差容限,色差容限随饱和度的增加而变大,反之则减小。
△ECMC(l:c)色差公式它引入了明度加权值l和彩度加权值c,具体使用者可以通过改变这两个参数,来调整明度和彩度对总色差计算结果的影响程度。l:c如果大于1意味着缩小了明度对色差结果的影响,也意味这扩大了彩度和色相对CMC色差结果的影响;同理如果小于1意味这扩大了明度对CMC色差结果的影响。l和c值是与具体应用条件有关的参数,可根据不同观察条件调整明度、彩度、色相对于色差的贡献。目前,常用的是△Ecmc(1:1)和△Ecmc(2:1)两种。
ΔE*CMC(l:c)色差公式改进了CIELAB色空间的目视均匀性,用单一容差数值就可裁定色匹配的可接受性,且该容差与标样颜色无关,用椭球三半轴(CIELAB明度容差ΔL*、彩度容差△C*ab和色调容差△H*ab)加权(l·SL、C·SC和SH)导出的色差ΔE*CMC(l:c)还可区分不同情况用以解释其三个独立分量:明度分量ΔL*CMC=ΔL*/l·SL,彩度分量ΔC*CMC=△C*ab/C·SC和色调分量△H*CMC=△H*ab/SH。