在颜色管理中,色差是一个常见的管理项目,而对色差进行量化,是将颜色差异用数字进行表达的一种方式,使颜色差异可视化。那么,色差怎么量化?CIELab颜色空间色差怎么计算?本文对色差量化的常见方法及CIELab颜色空间色差计算方法做了介绍。

色差是指两个试样在颜色知觉上的差异,它包括明度差、彩度差和色相差三方面。色差是指两个颜色经测色仪器测量后,再经色差公式计算出的这两个颜色的差异值。颜色间的差异值以DE或△E表示。E是德语单词Empfindung(感觉)的第一个字母;D是希腊字母,表示某方面的差别。DE表示两个颜色彼此间的差异值。△E表示色彩空间内两个色样彼此间的距离差距。
色差的量化方法分为视觉量化方法和色差公式量化方法。目视比较和判断具有较大的主观性和易变性,在工业生产中不直接作为颜色质的评价依据。因此,仪器测色显得尤为重要。但是,物理测量的数据应该能预测观察者所看到的情况,即需要有合适的色差公式,使之计算出来的色差能够预测目视色差。
两带色样品间的颜色在颜色知觉上的差异可用“色差”来表示。1976年以来,出现了多种色差公式如CMC(1:c)色差公式,CIE1976(△L*△Cab*△Hab*)色差模型、CIE DE2000色差公式、CIE1976(L*a*b*)色差公式等。其中CIE 1976(L*a*b*)色差公式是国际上公认的色差公式。色差包括明度差、彩度差和色相差三个方面。我们常说的色差是这三方面色差经一定公式计算后得出的总色差值。
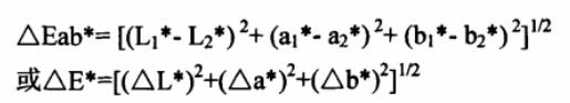
在与颜色感觉一致的均匀颜色空间内,两个颜色样品之间的色差表示为其坐标点之间的距离,即:

式中,L1*,a1*,b1*和L2*,a2*,b2*分别是两个样品的坐标值。色差公式的几何意义,是在均匀颜色空间以标准色样的坐标点为中心的一个椭球,其在L*、a*、b*三个方向的半轴长分别为(L1*-L2*)、(a1*-a2*)和(b1*-b2*)。若规定椭球内的颜色满足色差容限的要求,则椭球外的颜色与标准色样的色差超出了色差容限范围,便不满足色差的要求。
对于色差ΔE值的计算方法,一般是在CIELab颜色空间下对颜色进行量化,也就是用ΔE*ab值来表示。ΔEab是基于CIELAB颜色空间计算得出的。CIELAB颜色空间由L(亮度)、a*(红绿轴坐标)、b*(黄蓝轴坐标)三个参数构成。ΔEab表示两个颜色在CIELAB空间中的欧氏距离,反映人眼对颜色差异的感知程度。数值越小,颜色差异越小;数值越大,差异越明显。一般来讲,从拿到颜色样品到根据计算结果做出客观色差评价,大致需以下三个步骤:
1.确定两个色样在CIELab颜色空间中的坐标值
设第一个颜色样本的坐标值为L*1、a*1、b*1,分别表示明度、红绿色度、黄蓝色度。设第二个颜色样本的坐标值为L*2、a*2、b*2,分别表示明度、红绿色度、黄蓝色度。
2.计算明度差ΔL*、红绿色度差Δa*、黄蓝色度差Δb*
明度差ΔL*=L*2-L*1,表示两个颜色在明亮程度上的差异。红绿色度差Δa*=a*2-a*1,正值表示第二个颜色更偏红,负值表示更偏绿。黄蓝色度差Δb=b*2-b*1,正值表示第二个颜色更偏黄,负值表示更偏蓝。
3.计算总色差值ΔE*ab
根据公式ΔE*ab=[(ΔL*)2+(Δa*)2+(Δb*)2]1/2,将前面计算得到的ΔL*、Δa*、Δb代入该公式,通过平方、相加后再开方的运算,得到两个颜色在CIELab颜色空间中的色差值。这个色差值ΔE*ab的数值大小直观地反映了两个颜色之间的总体差异程度,数值越小,表示两个颜色越接近;数值越大,则表示颜色差异越大。