CIELuv均匀颜色空间是CIE推荐的用于颜色测量的均匀颜色空间,该颜色空间用L、u、v三个维度对颜色进行描述,且以空间之间的几何距离来描述颜色之间的差异值。那么,CIELuv均匀颜色空间的色差值是怎么计算的?下文为大家做了简要的介绍。

CIELuv颜色空间是CIE1976L*u*v*均匀颜色空间的简称,CILuv颜色空间的设计目标是使颜色空间中的欧几里得距离更接近人眼感知的颜色差异,即实现视觉上的均匀性。这使得在CIELuv颜色空间中计算得到的色差与人眼的实际感受更为相符,对于颜色的准确测量、比较和质量控制具有重要意义。
CIELuv颜色空间由L(亮度)、u*(绿-红方向的色度坐标)、v*(蓝-黄方向的色度坐标)构成。L表示颜色的明亮程度,含义与CIELab和CIELCh中的L一致,反映了颜色的明暗程度,取值范围从0(绝对黑色)到100(绝对白色)。u表示绿-红方向的色度,是描述颜色在红绿蓝维度上位置的一个参数。u值的正负和大小反映了颜色在该维度上的偏向和程度。u为正值时,表示颜色在该维度上偏向红色或黄色方向的程度;u*为负值时,表示颜色偏向绿色或蓝色方向的程度。v*表示蓝-黄方向的色度,v值的变化反映了颜色在另一个维度上的偏向和程度,与u相互配合来完整地表达颜色的色度特性。v值为正时,颜色偏向黄色或蓝色方向;v*值为负时,颜色偏向红色或绿色方向。
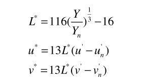
CIELuv颜色空间中,L*,u*,v*是X,Y,Z通过非线性变换得到的,同样用两点间的距离表示颜色之间的色差。从CIEXYZ颜色空间到CIELuv颜色空间的转换,可以利用下列公式来完成:

其中:u'=4X/(X+15Y+3Z),v'=9X(X+15Y+3Z),(Xn、Yn、Zn)定义为参考白色的对应值,u'n和v'n定义为参考白色的转换值,它们的定义可以参照u'和v'的定义方式。
在CIELuv均匀颜色空间中,两个颜色的色差△E*uv为:△E*uv=[(△L*)2+(△u*)2+(△v*)2]1/2
相应的明度、饱和度、彩度、色调的近似相互关系式由下式计算:
CIELuv明度计算式:L*=116(Y/Yn)1/3-16(Y/Yn)>0.008856
CIELuv饱和度计算式:Suv=13[(u'-u'n)2+(v'-v'n)2]1/2
CIELuv彩度计算式:Cuv=[(△u*)2+(△v*)2]1/2=L*Suv
CIELuv色调角计算式:huv=arctan[(v'-v'n)/(u'-u'n)]=aretan(v*/u*)
若u*和v*都为正,huv位于0°和90°之间;若u*为负,v*为正,h°位于90°和180°之间;若u*和v*都为负,huv位于180°和270°之间;若u*为正,v*为负,huv位于270°和360°之间。
CIELuv色调差计算式:△H*uv=[(△E*uv)2-(△l*)2-(△C*uv)2]1/2
若表明h在增加时,H看作正;若表明h在减少时,H看作负。