CIELab颜色空间是颜色测量中常用的测色空间,也是国际上通用的测色空间,它是通过CIEXYZ颜色空间线性转换得到的一个颜色空间,与CIEXYZ颜色空间之间存在相互转换关系。本文对CIELab颜色空间及其与CIEXYZ颜色空间转换做了介绍。

CIELab颜色空间是基于人类视觉特征建立的颜色系统,是一种基于生理特征的均匀颜色系统,能够较好地模拟人眼对颜色和色差的视觉感知,准确反映颜色变化对人眼视觉的感知所引起的差异。CIELab颜色空间现已成为世界各国正式采纳、作为国际通用的测色标准,适用于一切光源色或物体色的表示与计算。
CIELab颜色空间直接基于CIEXYZ颜色空间建立,使用MacAdam 椭圆描述颜色差异,并由此建立了线性化的人眼视觉对颜色的视觉感知空间,是一种比 CIEXYZ颜色空间更线性、更直观的颜色空间,也就是说颜色空间上相同数量的变化会产生大约相同视觉重要性的变化。和其他颜色空间一样,CIELab颜色空间中每一点代表一种颜色,两种颜色的差异就是其在该颜色空间中的距离,但不同的一点是在CIELab颜色空间中相同颜色距离代表了相同的人眼视觉对色差感知大小,因为L,a和b的非线性关系较好地模拟了人眼视觉在该颜色空间中的非线性响应。CIELab颜色空间中的数值能够完全表达人眼视觉所能看到的所有颜色,也有很多“颜色”超出了人类视觉的视域,CIELab颜色空间中的L分量与人类亮度感知密切配合,用于调整亮度对比,取值范围是[0,100],表示从纯黑到纯白(L=0 表示黑色而L=100表示白色);色度a、b与色调饱和度的感觉相一致,a表示从红色到绿色的范围(负值表示绿色而正值表示品红),取值范围是[127,-128];b表示从黄色到蓝色的范围(负值表示蓝色而正值表示黄色),取值范围是[127,-128]。可以通过修改a和b分量对颜色做精确平衡,其颜色模型如下图所示:

从CIELab颜色空间模型可知,在明度相同的ab平面上,从坐标角度看,a大于0时为红色方向,值越大时越红,a小于0时为绿色方向,值越小时越绿,在a的方向上,从左到右是从深绿到灰色,再到红色(亮粉色)的过程;同理当b大于0时为黄色方向,值越大时越黄,b小于0时为蓝色方向,值越小则越蓝,在b的方向上,三维中从前到后颜色变化时从亮蓝到灰色,再到黄色的过程;L表示的是颜色的亮度,L越大则越亮,反之,越小则越暗。从CIELab模式的概念中可以知道,三维坐标的中间过渡部分均为灰色,而这个灰色是在各色亮度较低的情况下的过渡色。
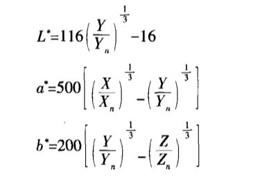
在CIEXYZ颜色空间中可知光谱功率分布和人眼感知颜色情况,但该颜色空间无法表达人眼对颜色差别的视觉感知。而CIELab颜色空间的建立就很好的解决了这一问题,该颜色空间模拟人眼视觉对颜色差别的感知情况,能够较好的表达人眼对色差的视觉感知。CIELab颜色空间是在CIEXYZ颜色空间基础上建立的,比CIEXYZ颜色空间更加线性,即在该颜色空间中相同大小的颜色距离会引起相同的人眼视觉感知的变化,且能采用数据准确表达人眼视觉对颜色差异的感知情况。由CIEXYZ到CIELab颜色空间的转换公式如下式所示:
