△E*ab和△E*00色差公式是色差仪中常见的用于色差值计算的公式,这两个色差公式都是在CIELab颜色空间的基础上发展起来的,且△E*00色差公式是对△E*ab色差公式的修正。那么,色差仪△E*ab和△E*00色差公式有什么不同?本文对色差仪△E*ab和△E*00色差公式的含义及区别做了介绍。

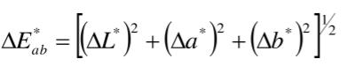
ΔE*ab色差公式是CIELAB色差公式的简称,是色差仪中目前使用最为广泛的一个色差公式。CIELAB色差公式是基于近似均匀的三维颜色空间建立的,由直角坐标L*、a*、b*构成,国际照明委员会推荐使用。该色差公式建立在CIELAB颜色空间之上,在L*a*b*公式中,L*表示明度,a*表示红色和绿色的成分,b*表示黄色和蓝色的成分。色差是指用数值的方式表示两种颜色给人色彩感觉上的差别,若两个颜色都是按照L*a*b*标定的,则两个颜色之间的色差可以用欧式距离来计算:

其中,△L*是CIELAB空间的明度差,△a*是CIELAB空间的红绿色光差,△b*是CIELAB空间的黄蓝色光差。△a*和△b*表示样本和标准在ab*平面上位置的改变。如果将CIELab均匀颜色空间转化为极坐标空间,则能更好地表示色差的性质,极坐标空间用LCH表示。因此,CIELAB色差公式也可以用明度差△L*、彩度差△C*ab和色相差△H*ab来定义。
ΔE*00色差式是CIEDE2000色差公式的简称,CIEDE2000是由CIE专门设立的专业委员会TC1-47(Hue and Lightness Dependent Correction to Industrial Color-Difference Evaluation)在CIELAB颜色空间的基础上经过相关修正推出的色差公式。该公式可以实现更加精确、符合人眼感知的色差评价,但也因此在计算上更为复杂。其色差式如下所示:

式中,ΔL'为亮度差;ΔC'为彩度差;ΔH'为色相差;KL、KC、KH分别为亮度、彩度、色相的权重因子,在本文的应用情况下,将其取值为KL=KC=KH=1;SL、SC、SH分别为对亮度、彩色、色相的补偿函数;RT为对蓝色区域的旋转因子。
CIEDE2000只是重新定义了色差的计算方法,并不是建立了一个新的均匀色空间。对于一般的工业色差评估,可以直接用该公式进行计算,计算结果即可表示被知觉的色差。
在CIELab中评估色差的常用参数△*Eab,在各个饱和度及色调角条件下定义色差的方法都是一个完整的圆圈。另外一个色差常用参数△a*b*,其在色度图中定义色差的方法都是矩形,不论哪种定义方法、哪种形状,都是与人眼的色差辨别临界区(白色椭圆)有区别的。因此,在我们评估同样的两种颜色的色差时,人眼与色差计计算结果有矛盾和差异的主要原因就在于判断方法和定义形状上的差异。
△E00的色差参数却是一个主轴在饱和度方向上的与人眼辨别临界区相接近的椭圆。在低饱和度的区域,重量系数SL、SC 和SH都接近于1,使得整个椭圆更象个圆形。在高饱和度的区域,重量系数SC将比其他两个系数SL和SH变得更大,因此在饱和度方向上椭圆被拉得更狭长(饱和度的敏感度更低)。在△E00色差公式中,色调角的影响也被考虑在内。△E00色差公式也包含了3个常量参数KL、KC和KH,用户可以根据不同的测量对象或者色彩品质控制要求来自定义它们的数值,以获得更精确的色差计算方式。