光源显色指数怎么理解?光源的显色指数是待测光源下物体的颜色与参照光源下物体颜色相符程度的度量,是物体在待测光源下和参照照明体下颜色外貌一致程度的量化。那么,光源显色指数怎么计算?本文对光源显色指数含义及光源显色指数计算方法做了介绍。

显色指数(CRI)是根据待测光源下物体呈现的颜色与参考光源下物体呈现颜色相符合程度得出的度量标准,是为了用来评价在某种光源下,物体的颜色还原性(以参考光源下颜色为基准)。当前光源的光谱元素中,如果缺少物体在参考光源下反射颜色的主波时,我们看到的物体颜色会明显发生偏移。色彩偏移数值越大,说明当前光源的显色性越差。
标准化系统中,我们将白炽灯的显色指数定为100,并将其当做理想的基准光源。标定显色性时,通常以8种中等彩度的色样作为检验标准,保证色温不变的前提下,比较在待测光源与标准光源下这8中颜色的偏离程度,以此数据来标定该待测光源的显色指数,以100为最高值,平均偏差取Ra20~100,平均色差越大,则相应Ra值越低。生活生产中,Ra值低于20的光源一般不被使用。而当前广泛使用的白炽灯,虽然其理论CRI为100,但由于目前生活中的白炽灯种类十分繁多,相应用途也不尽相同,因此其Ra值通常是不完全一致的。一般都只能说是接近100,但无论如何,目前白炽灯是显色性最好的灯具。
计算显色指数的标准方法,是CIE制定的“测色法”。评价时采用一套14种试验颜色样品,根据在参照光源下和待测光源下各试验色的色差△E,计算出光源特殊显色指数。光源的一般显色指数越高,其显色性就越好,对颜色的还原性越好。通常是在已知待测光源的光谱能量分布P(λ)的情况下,进行显色指数计算的,其主要步骤如下:
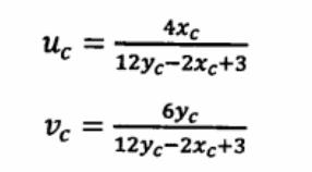
1.根据待测光源的光功率谱分布,计算待测光源的色度坐标(xc,yc)、(uc,vc)、相关色温T,其中:

2.由待测光源的光功率谱分布和1-14试验色的光谱辐亮度因数,计算待测光源下1-14号试验色的色度坐标(xci,yci)并求相应(uci,vci)。
3.根据T选择参照照明体,查表得出参照照明体的色度参数(ur,vr,cr,dr),以及在参照照明体下试验色的颜色空间坐标U*ri、V*ri、W*ri。
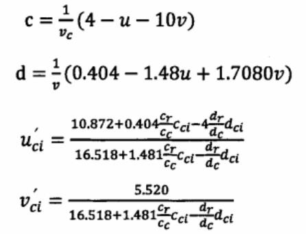
4.由待测光源色坐标(uc,vc),求(cc,dc)以及待测光源下试验色的色坐标(uci,vci)求(cci,dci),并计算试验色的适应色位移(u'ci,v'ci),其中有:

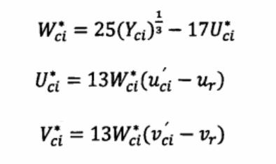
5.计算待测光源下试验色的U*ci、V*ci、W*ci。

6.求U*ri、V*ri、W*ri与U*ci、V*ci、W*ci的色差△Ei。

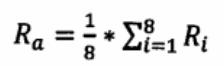
7.由△Ei得特殊显色指数Ri和一般显色指数Ra。

一般显色指数Ra的计算公式:
