塑料色差仪是塑料行业常用的颜色检测仪器,该仪器在测量塑料产品的颜色时,可以通过内置的色差公式,将两个色差之间的颜色差异值计算出来,并以数字的形式进行表示。本文对塑料色差仪CMC、CIE94、CIE2000色差公式做了简要的介绍。

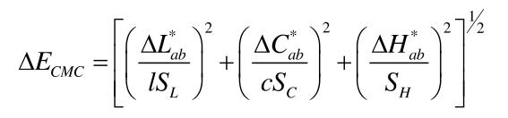
CMC色差公式是在修正CIELAB色差公式的基础上提出的一个色差公式,CMC色差公式根据视觉关系调整了每个色调方向的色差椭圆大小和形状;改善了彩度差变化与明度之间的关系,使不同彩度的颜色具有不同的色差容限。非彩色区域附近的椭圆较小,彩度高的椭圆较大,色差容限与彩度的变化成正比。CMC色差公式形式如下:

其中,△L*ab、△H*ab和△C*ab,为CIELAB确定的明度差、彩度差和色调差;SL、SC和SH分别为明度、彩度和色调的权重函数;明度权重因子l和彩度权重因子c与具体应用条件有关,一般情况下c=1。在纺织业中,当l=2时用CMC色差公式计算得到的纺织品色差与视觉感觉相对一致。对于涂料、塑料和油墨等应用,取l=1.4。
CMC色差公式实际上是一个三维空间中的椭球公式,也就是说,用以目标色样的坐标点为中心的一个椭球来表示色差,椭球的大小与样品颜色同目标色的差别有关,也与具体的颜色区域有关,在不同的颜色区域用不同大小和取向的椭球来表示色差。这种计算色差的方式已经被C正确定为今后发展色差公式的一种标准形式,主要的研究重点是如何确定公式中的系数,CIE94色差公式就是这类公式的代表。
CIE94色差公式与CMC色差公式相比,其权重函数更简单,具体色差公式如下所示:

其中,SL、SC、SH分别是明度、彩度和色调的权重函数;kL、kC、kH分别为对应的参数因子,在CIE推荐的色差计算的标准条件下,kL=kC=kH=1,当使用条件和参考条件不同于该公式标准条件时,通过改变参数因子来调整明度、饱和度和色调色差分量在总色差中的相对权重;C*ab一般指标准色样的CIELAB彩度,当被测色样中不分标准色样与测试色样时,C*ab取两者的几何平均值,即C*ab=(C*ab,1C*ab,2)1/2。
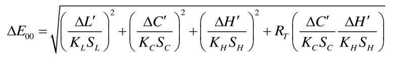
CIE2000色差公式是CIE在2000年提出的一个新的色差评价公式,其全称为CIEDE2000。CIE2000色差公式在形式上虽然复杂很多,但也大大提高了色差预测的精度。CIEDE2000色差公式的完整表述形式如下:

其中,KL、KC、KH是校正因子,当两个样本的色调角绝对差值大于180°时,先把较大的色调角减去360°,再进行计算。