色差仪在测量两个色样之间的颜色差异时,需要用到相应的色差公式,对样品之间的颜色差异进行数字量化,CMC(l:c)色差公式是色差仪色差计算中比较常用的一个色差公式。本文对色差计算公式CMC(l:c)色差公式的特定做了简要的介绍。

CIELab色差公式在当时是使用效果最好的色差公式,但是其自身也存在不足之处,最主要的便是该色差公式的计算结果与目测感觉并不总是一致。例如,在对深色变化相比,人眼对色相的变化更为敏感;另外人眼在低饱和度色区的辨色能力远比在明亮鲜艳色区为高。

如上图所示,清楚地说明CIE1976Lab是个均匀性很差的颜色空间,至少和小色差有关;如果实验数据和CIEL*a*b*空间能够完美的匹配,所有的椭圆都是同尺寸的圆圈;但是从图中可以发现一些趋势:接近中性色的椭圆最小;随着彩度的增加椭圆变大变长;除了蓝色区域外,大多数椭圆都指向原点(非彩色点)。
1984年,推出CMC(l:c)色差公式,它克服了CIELab色差公式与目测结果偏差较大的缺陷,通过调整彩度权重因子c和明度权重因子l可以适应不同的需求。
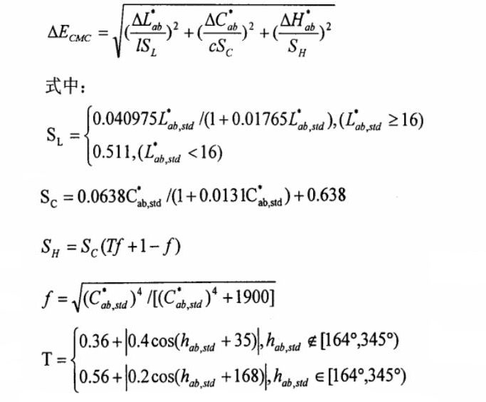
CMC(l:c)公式把标准色周围的视觉宽容量定义为椭圆,以一个给定的标准色为中心椭圆的特征,是由相对于标准色在△L*、△C*ab、△H*ab方向上的两半轴长度决定的。由椭圆方程定义的色差公式△ECMC(l:c)如下所示:

上式中,L*ab,std、C*ab,std、h*ab,std都是标准色的色度参数,L*ab,std、C*ab,std、h*ab,std和△L*、△C*ab、△H*ab都是在 CIEL*a*b*颜色空间计算得到。
标准色的CIEL*a*b*坐标L*ab,std、C*ab,std、h*ab,std来校正值SL、SC、SH,进行计算是极为重要的。这些参数用非线性方程定义,也表明了,△L*的宽容量随着L*ab,std的增大而增大,△C*ab的宽容量随着C*ab,std的増大而增大,△H*ab的宽容量随着C*ab,std的增大而增大且与h*ab,std的变化同步。
CMC(l:c)色差公式比CIEL*a*b*公式更符合人眼视觉的评估结果,所以对产品的不同颜色质量控制可以设定一个“单一阈值”,这个阈值与颜色区域无关。