色温是评价光源性能的一项重要的指标,它体现在光线颜色上的差异,不同的光源色温不同,其光线的颜色就会有所差异。那么,光源的色温怎么计算?光源色温有哪些常用单位?本文对光源色温的计算方法及光源色温的常用单位做了介绍。

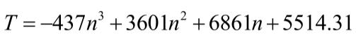
光源的色温可以分为绝对色温和相关色温,对于这两种色温的计算方法是不同的。绝对色温在CIE-1931色品图上是一条连续的弧形轨迹,这条轨迹称为黑体轨迹线。光源的色品坐标如果落于黑体轨迹上,则对应的黑体温度就为此光源的绝对色温。绝对色温的计算公式为:

式中n=(x-0.3320)/(y-0.1858),x、y为CIE-1931的色坐标。
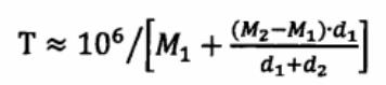
相对色温表示的是与光源具有最相似颜色刺激的黑体辐射的温度,当知道待测光源的光谱分布后,可确定出光源的色度坐标(x,y)。若光源的色度坐标点位于两条相邻等温线M1和M2之间,则可用内插法求得光源的相关色温。
设d1为光源坐标点到等温线M1的距离,d2为到等温线M2的距离。则光源的相关色温T由下式表示:

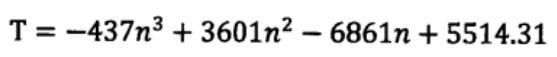
通常情况下用下面近似公式得到色温T:

其中:n=(x-0.3320)/y-0.1858。
色温是以“完全辐射体”的温度来表示一个实际光源的光谱成分。以绝对零度(-273℃)为基准,色温的单位是开尔文,用°K(或K)为符号。但色温还有一个单位微倒值(MRD),又叫麦瑞德值。它们之间的换算关系是:MRD=1/K*1000000。例如:日光5500K的色温1.X(MRD=1/5500*10000000则X=182:室内灯光3200K的色温2.X(MRD)=1/3200*10000000则X=312;312-182=130。因此我们就知道它们之间相差130MRD。
在描述光源的质的特性时经常用到色温、相关色温。如果一个光源发射光的颜色(即光色)与某一温度下的黑体发射光的颜色(即色品)相同,那么,此时黑体的绝对温度值就叫做该光源的颜色温度,简称色温,也称绝对色温。当光源发射光的颜色和黑体不相同时,我们用“相关色温”的概念来描述光源的颜色。相关色温的定义是:在某一确定的色品图中,如果一个光源与某一温度下的黑体具有最接近的色品,此时黑体的绝对温度值就叫做光源的相关色温。
从上述概念中,可以看出当光源发射光的颜色和黑体不同时,色温的概念被扩大到更一般的“相关色温”的概念。在色温和相关色温的定义中,必须是对标准的色觉观察者而言。因为不同的色觉观察者。特别是具有色觉缺陷的观察者在评价时,将可能收到不同的结果。在相关色温的定义中、必须规定出一个最合适的,为大家所公认的均匀色度图。对同一光源,由依据的均匀色度图的不同,所求出的相关色温也不同。现规定用CIE1960UCS色度图。在上述定义中,都包括了人眼的色觉特性,因此,色温和相关色温实际上是一个心理物理量。