颜色空间也称色彩模型,是一种特定的颜色组织,是对色彩的一种描述方式,实际应用中常用的颜色空间有很多,如RGB、CMYK、CIEXYZ等,不同的颜色空间表示颜色方式不同,且可以通过数学形式进行转换。本文对RGB颜色空间与CMYK颜色空间色度值转换关系做了介绍。

RGB颜色空间以红(R)、绿(G)和蓝(B)三种基本颜色为基础,三种颜色进行不同程度的叠加,能够产生丰富的颜色,因此RGB颜色空间又被称为三基色模型。在该模型中,R、G、B分别位于3个角上,黑色位于原点处,白色位于离远点最远的对角点处,灰度级沿着这两点的连线分布。在该模型中,不同的颜色处在立方体上或者在其内部,并且可以用从原点分布的向量来定义。即每一种颜色可以用红、绿、蓝三个颜色分量的坐标来表示,若将颜色值进行归一化,原立方体就变成一个单位立方体,所有的R、G、B值都取值范围在[0,1]内。
RGB颜色空间采用物理三原色对颜色进行表示,这种方式比较简单,但给定任意一个R、G、B值,无法准确知道所表述的颜色,并不符合人的视觉特点。而且RGB颜色空间不是一个均匀的颜色空间,即空间坐标上等距离的两点并不能表示出颜色的差异性,因此,RGB颜色空间并不适合用作色差检测。通过借助特定的数学手段,对于RGB颜色空间中的颜色值,能够很容易地转为其他的颜色空间中的颜色值。
CMYK颜色空间也称作印刷色彩模式,是专门应用于印刷技术的颜色空间,由色料的三原色混色原理,加上黑色油墨共计四种颜色混合叠加形成各种各样的颜色,其中C代表青色(Cyan),M代表品红色(Magenta),Y代表品黄色(Yellow),K代表黑色(KeyPla或black)。CMYK是一种依靠反光的减色混合色彩模式,即人眼视觉观察到的颜色是反射光,是物体吸收了部分光谱后反射的那部分未被吸收的光的颜色。
CMYK模式当C、M、Y均为0时表示白色,为100%是时黑色(由于实际中很难得到纯黑色,所以引入了黑色K),由于不同比例的C、M、Y、K混合时,随着各分量的增加,物体吸收的光谱会越来越多,因而反射的光线会越来越少,亮度会随之越来越低,因而CMYK模式混合产生颜色的方式又被称为减色法。
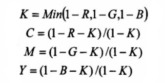
RGB颜色空间向CMYK颜色空间的转换,从理论上讲,由于CMY是RGB的补色,当RGB转换成CMY时,CMYK值可通过下列公式计算:

式中,C、M、Y、色料三原色的量,用百分比表示;R、G、B为色光三原色转换为百分比的量。如某一RGB颜色R=235,G=173,B=137,转换成百分比后R=92.16、G=67.84、B=53.73,转换成CMY后C=7.84%、M=32.16%、Y=46.27%。
CMYK颜色空间至RGB颜色空间的转换公式为:

式中RGB值计算出来为百分比含量,还要转化为0~255的值,如某一色卡由上式计算出来R=92.16%,G=67.84%,B=53.73%,则RGB空间值为R=235,G=173,B=137。