Hunter Lab颜色空间是测色仪中常见的颜色空间,该测色系统以L、a、b 表示物体反射光的三个量,其中L表示反射光的明度,a表示反射光中红色与绿色的成分,b表示反射光中黄色与蓝色的成分。本文对Hunter Lab颜色空间及Hunter Lab色差公式形式做了介绍。

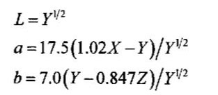
Hunter Lab颜色空间是一个基于对立颜色学说的三维矩形空间,如下图所示,与CIE L*a*b*色彩体系相类似,同一颜色在这两个颜色空间中的数值是不同的,Hunter Lab在颜色空间的蓝色部分是收缩的,CIE L*a*b*在颜色空间的黄色部分是过度扩张的;都是由CIE YZ体系导出的,表达式为:

L(明度)轴:其中)代表黑,100代表白。a(红一绿)轴:其中正值为红;负值为绿。b(蓝一黄)轴:其中正值为黄;负值为蓝。L值越大,物体颜色越白;L值越小,物体颜色越黑。沿(+a)方向红色逐渐加深,沿(-a)方向绿色逐渐加深。沿(+b)方向黄色逐渐加深,沿(-b)方向蓝色逐渐加深。X、Y、Z为物体的三刺激值。
CIEL*a*b*(CIELab)是惯常用来描述人眼可见的所有颜色的最完备的色彩模型。L、a和b后面的星号(*)是全名的一部分,因为它们表示L*、a*和b*。Hunter Lab一般是指Lab,它是建立在颜色对立理论基础上的三维直角坐标系,是不带星号的,不同于L*、a*和b*。这两种表色系统都是建立在颜色对立理论基础上的,应用都比较广泛,区分这两种表色系统还是很有必要的。
Hunter Lab和CIELAB颜色体系的计算公式不同,虽然都是由X、Y、Z经数学计算而来,但是色度量的取值不同。另外两个个色度空间与视觉感官的均匀性都存在差异。虽然CIELab色空间是CIE推荐的均匀颜色空间,而实际上CIELab空间对于人眼的色彩感觉来说也还是不均匀的。在该空间的某个区域(如红色区域)取两个色样点与另一区域(如绿色区域)同等距离的两个色样点作比较,会发现在红色区域的两个色样的视感觉差别和绿色区域的两个色样的视感觉差别不一样,即在不同颜色区域,色彩的宽容量数值是不相等的。
Hunter色差公式是由亨特(Hunter)为使光电色度计读数方便,而于1948年提出的Lab对抗色系统中计算色差的公式,大多用于陶瓷、塑料和纺织品等,一般可满足工业生产管理的需要。在该公式中,L表示物体反射光的明度,a表示反射光中红色与绿色的成分,b表示反射光中黄色与蓝色的成分。因此,Lab系统的色差公式可表示为:

式中:△L、△a、△b分别为两个物体表面色的明度差和色品坐标差。