分光测色仪是色差测量与管理中常见的仪器,这类仪器一般具有多种类型的颜色空间,这些颜色空间表示同一颜色信息的方式是不同的,为了进行颜色的比对,就需要进行颜色空间的转换。本文对分光测色仪色差测量中不同颜色空间的转换关系做了简要的介绍。

RGB颜色空间并不能产生出所有的彩色,在某些情况下颜色值还会出现负值,为了克服这一缺点,CIE规定了一种新的颜色系统称为XYZ颜色空间。XYZ颜色空间必须满足三个条件:三色比例系数X、Y和Z皆大于零;Y的数值正好是彩色光的亮度;当X=Y=Z时仍然表示标准白光。根据以上条件,可以得到RGB颜色空间与XYZ颜色空间的关系式:

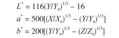
CIELAB是CIE推出的均匀颜色空间,由L*(亮度)和有关色彩的a*、b*三要素组成。CIELAB颜色空间是经CIEXYZ颜色空间非线性变换而得到的,这一均匀色彩空间的优点是当颜色的色差大于视觉的识别阈值(恰可察觉)而又小于孟塞尔系统中相临两极色差时,可以较好地放映物体色的心理感受效果。它与CIEXYZ颜色空间的转换关系式如下:

CIELuv颜色空间也是CIE推荐的一个均匀颜色空间,在CIELUV空间中,L*为明度,u*、v*为色品指数。三者相互垂直构成色空间来描述相对应的亮度和色度量:垂直的轴是明度L*,位于水平面且互相垂直的是色品指数u*和 v*。CIELuv颜色空间与CIELab颜色空间相似,L*,u*,v*是X,Y,Z通过非线性变换得到的,其表达式如下:

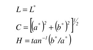
CIELCH颜色空间采用CIELAB一样的颜色空间模型,把LAB用极坐标的方式表示LCH的颜色空间,L*表示颜色的亮度值,C*表示颜色的饱和度值,H*表示颜色的色相值。CIELab与CIELCH之间的转换关系为:

RGB色彩空间的颜色不能直接转换到CIELAB色彩空间,需要借助XYZ色彩空间进行非线性操作,先把RGB色彩空间转换到XYZ色彩空间,然后通过XYZ色彩空间和CIELAB色彩空间之间的联系进行转换。转换公式可以参考上文介绍的RGB颜色空间与XYZ颜色空间转换关系和XYZ颜色空间与LAB颜色空间转换关系。