HuntLab颜色空间是色差仪等颜色侧脸仪器中常用的测色空间,该测色空间是由CIEXYZ测色空间导出的一个测色空间,在结构上与CIELab颜色空间相类似。那么,色差仪HuntLab颜色空间是怎么表示颜色的?本文对色差仪HuntLab颜色空间做了简要的介绍。

Hunter Lab颜色空间是一个基于对立颜色学说的三维矩形空间,与CIELab色彩体系相类似,同一颜色在这两个颜色空间中的数值是不同的,Hunter Lab在颜色空间的蓝色部分是收缩的,CIELab在颜色空间的黄色部分是过度扩张的;都是由CIEXYZ体系导出的。
Hunter Lab系统分别以L、a、b 表示物体反射光的三个量,其中L表示反射光的明度,a表示反射光中红色与绿色的成分,b表示反射光中黄色与蓝色的成分。L与CIELab中的L*类似,描述颜色的明亮程度。取值范围一般在0到100之间,0表示绝对黑色,100表示绝对白色。a表示颜色在红绿色轴上的位置a值为正数时,颜色偏向红色;a值为负数时,颜色偏向绿色。其数值的大小反映了颜色在红绿色调上的偏离程度,绝对值越大,颜色在该方向上的特征越明显,其数值范围和计算方式与CIELab中的a*有所不同。b代表颜色在黄蓝色轴上的位置。b值为正数时,颜色偏向黄色;b值为负数时,颜色偏向蓝色。同样,b值的大小反映了颜色在黄蓝色调上的偏离程度,绝对值越大,颜色的黄色或蓝色特征越突出。同样与CIELab中的b*在数值范围和计算上存在差异。
Hunter Lab均匀颜色空间是基于特定的数学转换和经验公式建立的,相对简单直观。该颜色空间计算相对简便,对一些特定的应用场景,如在一些对计算速度要求较高或对颜色精度要求不是极高的工业生产中,具有一定的实用性。但与CIELab相比,其均匀性较差,颜色空间中的距离与视觉感知的色差一致性不如CIELab颜色空间。常用于一些对颜色测量精度要求不是特别高的行业,例如在食品行业中,可用于快速评估食品的颜色特征,判断食品的新鲜度或品质。
Hunter Lab颜色空间是一个基于对立颜色学说的三维矩形空间,该系统分别以L、a、b 表示物体反射光的三个量,其中L表示反射光的明度,a表示反射光中红色与绿色的成分,b表示反射光中黄色与蓝色的成分。L与CIELab中的L*类似,描述颜色的明亮程度。取值范围一般在0到100之间,0表示绝对黑色,100表示绝对白色。a表示颜色在红绿色轴上的位置a值为正数时,颜色偏向红色;a值为负数时,颜色偏向绿色。其数值的大小反映了颜色在红绿色调上的偏离程度,绝对值越大,颜色在该方向上的特征越明显,其数值范围和计算方式与CIELab中的a*有所不同。b代表颜色在黄蓝色轴上的位置。b值为正数时,颜色偏向黄色;b值为负数时,颜色偏向蓝色。同样,b值的大小反映了颜色在黄蓝色调上的偏离程度,绝对值越大,颜色的黄色或蓝色特征越突出。同样与CIELab中的b*在数值范围和计算上存在差异。
HunterLab色彩空间与CIELab颜色空间一样,都是由CIE XYZ体系导出,其表达为:

其中:L为明度;a、b为色度;X、Y、Z为物体的三刺激值;Xn、Yn、Zn为完全反射面的三刺激值;Ka、Kb为调整因子。
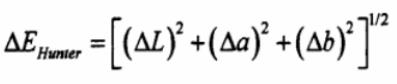
在Hunter Lab颜色空间中,其色差公式可表示为:

式中:△L、△a、△b分别为两个物体表面色的明度差和色品坐标差。